Với đà tăng trưởng ấn tượng trong thời quan qua, thị trường chứng khoán đang đón nhận nhiều hơn sự quan tâm từ những nhà đầu tư. Để có thể đứng vững trong thị trường và thu về lợi nhuận như mong đợi, nhà đầu tư cần trang bị cho bản thân lượng kiến thức cơ bản về chứng khoán. Tuy nhiên, vẫn còn đó nhiều quy định mà ngay cả những người lâu năm trên thị trường chưa thể nắm rõ. "Quen mà lạ, lạ mà quen", nhà đầu tư cần lưu ý một số kiến thức dưới đây để tránh bỡ ngỡ và sai sót trong hành trình đầu tư của mình.
Biên độ cho phép của phiên đầu tiên sau khi cổ phiếu mới niêm yết/ chuyển sàn/ tạm ngừng giao dịch trên 25 ngày
Thông thường, biên độ giá cổ phiếu giao dịch trong ngày tại sàn HoSE là +/- 7%, tại sàn HNX là +/- 10% và tại sàn UPCoM là +/- 15%.
Tuy nhiên, với trường hợp cổ phiếu mới niêm yết trong ngày đầu tiên hoặc được giao dịch trở lại sau khi bị tạm ngừng giao dịch trên 25 ngày, biên độ giá cổ phiếu giao dịch tại sàn HoSE là +/- 20%, tại sàn HNX là +/- 30% và tại sàn UPCoM là +/- 40%.
Ví dụ: Cổ phiếu CCV của Công ty cổ phần Tư vấn Xây dựng Công nghiệp và Đô thị Việt Nam đang giao dịch trên UPCoM. Từ ngày 18/3 đến 27/5/2022 (47 phiên liên tiếp), cổ phiếu CCV không phát sinh bất kỳ giao dịch nào. Do đó trong phiên 30/5, biên độ giá được nâng lên tối đa là 40%.

Trong trường hợp cổ phiếu chuyển giao dịch từ sàn này sang sàn khác, ví dụ từ HoSE chuyển sang HNX, giá tham chiếu cho ngày giao dịch đầu tiên tại HNX là mức giá đóng cửa tại HoSE trong ngày giao dịch cuối cùng và bước giá sẽ được làm tròn lên 100 đồng gần nhất. Đồng thời, biên độ dao động giá cho ngày giao dịch đầu tiên đối với cổ phiếu chuyển sàn sẽ được áp dụng như biên độ giá cổ phiếu giao dịch trong ngày của sàn mới.
Ngày Giao dịch không hưởng quyền và ngày đăng ký cuối cùng khác nhau như nào?
Ngày Giao dịch không hưởng quyền là ngày giao dịch mà người mua sẽ không được hưởng các quyền có liên quan như quyền nhận cổ tức, quyền mua cổ phiếu phát hành thêm, quyền tham dự ĐHĐCĐ… Mục đích của ngày này là nhằm chốt danh sách cổ đông sở hữu cổ phiếu của doanh nghiệp hiện tại.
Ngày đăng ký cuối cùng là ngày doanh nghiệp chốt danh sách người sở hữu chứng khoán để thực hiện các quyền cho cổ đông.
Nhà đầu tư mua cổ phiếu trước ngày Giao dịch không hưởng quyền thì sẽ có tên trong danh sách được hưởng quyền. Nhà đầu tư nếu mua cổ phiếu tại ngày Giao dịch không hưởng quyền hoặc sau ngày Giao dịch không hưởng quyền thì sẽ không có tên trong danh sách và sẽ không được hưởng các quyền đó.
Ngày thanh toán là ngày mà cổ tức bằng tiền hoặc bằng cổ phiếu được trả về tài khoản chứng khoán của cổ đông.

Giá cổ phiếu thay đổi như thế nào vào ngày Giao dịch không hưởng quyền?
Khi doanh nghiệp chi trả cổ tức, trong ngày Giao dịch không hưởng quyền, giá cổ phiếu sẽ bị điều chỉnh giảm rất lớn tương ứng với tỷ lệ cổ tức được trả. Theo logic thông thường, khi nghe thấy được chia thưởng đồng nghĩa với việc người đó sẽ có thêm tài sản. Tuy nhiên, trong đầu tư chứng khoán, khi doanh nghiệp thông báo chi trả cổ tức, tổng tài sản của cổ đông vẫn sẽ giữ nguyên, không hơn không kém. Tổng giá trị vốn hóa thị trường của doanh nghiệp trước và sau khi chia cổ tức cũng là không đổi.
Đó là lý do vì sao giá tham chiếu của cổ phiếu tại ngày Giao dịch không hưởng quyền lại phải điều chỉnh giảm xuống để tổng tài sản vẫn giữ nguyên.
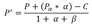
Công thức tính giá cổ phiếu điều chỉnh tại ngày Giao dịch không hưởng quyền:

Trong đó:
P’: Giá cổ phiếu tại ngày Giao dịch không hưởng quyền
P: Giá đóng cửa phiên liền trước ngày Giao dịch không hưởng quyền
Pα: Giá cổ phiếu phát hành thêm
α: Tỷ lệ chào bán thêm cổ phiếu
β: Tỷ lệ cổ tức bằng cổ phiếu/tỷ lệ cổ phiếu thưởng
C: Mức cổ tức bằng tiền
Ví dụ: Cổ phiếu ACB kết phiên ngày 30/5 đạt 20.000 đồng/cp. Ngày 31/5 là ngày Giao dịch không hưởng quyền chia cổ tức bằng tiền tỷ lệ 20%, chia cổ tức bằng cổ phiếu 10% và chào bán thêm cổ phiếu tỷ lệ 15% giá 10.000 đồng/cp.
Như vậy, giá cổ phiếu ACB vào phiên 31/5 được tính bằng:
Dễ dàng giao dịch cổ phiếu lô lẻ
Giao dịch lô trên sàn chứng khoán Việt Nam được quy định là 100 cổ phiếu. Do đó, không ít nhà đầu tư bị "kẹt" số lượng cổ phiếu dưới 100 đơn vị bởi nhiều nguyên nhân như chia cổ phiếu thưởng, chia cổ tức bằng cổ phiếu… Mặt khác, nhiều nhà đầu tư nhỏ lẻ với số vốn ít cũng gặp đôi chút khó khăn nếu muốn mua những cổ phiếu có thị giá cao.
Để thuận tiện hơn cho nhà đầu tư, hiện nay quy định trên sàn HNX và UPCoM cho phép giao dịch lô lẻ từ 01- 99 cổ phiếu được thực hiện như mua/bán cổ phiếu thông thường trên sàn, với điều kiện có người bán/mua đối ứng. Ngoài ra, một số công ty chứng khoán hiện đang cung cấp bảng giá giao dịch riêng biệt áp dụng cho giao dịch cổ phiếu lô lẻ trên sàn HNX/UPCoM giúp nhà đầu tư thuận tiện theo dõi.
Trong khi đó trên sàn HoSE, nhà đầu tư chưa được mua lô lẻ từ 01 – 99 cổ phiếu mà chỉ có thể bán thông qua giao dịch với công ty chứng khoán. Nhiều công ty chứng khoán đều đã cung cấp dịch vụ mua gom cổ phiếu lẻ cho nhà đầu tư, tuy nhiên, phần lớn giao dịch chỉ được thực hiện với mức giá sàn của cổ phiếu trong phiên đó.
Mua/bán cổ phiếu thì bao giờ cổ phiếu/ tiền về tài khoản?
Hiện tại, Việt Nam đang áp dụng chu kỳ thanh toán T+2 thay vì T+3 như trước đó.
Cụ thể, khi nhà đầu tư tiến hành đặt lệnh mua hoặc bán một mã chứng khoán thành công thì ngày đó là ngày giao dịch (ngày T+0). Ngày sau đó gọi là ngày T+1, ngày tiếp theo nữa gọi là T+2 và thêm 1 ngày sau nữa là T+3.
Theo quy định của Luật Chứng khoán hiện hành, đến 16h30' ngày T+2 thì cổ phiếu mà nhà đầu tư mua/tiền nhà đầu tư bán sẽ về tài khoản. Nhưng do các sàn chứng khoán đã đóng cửa vào lúc 15h00 nên vào ngày tiếp theo (tức ngày T+3) thì nhà đầu tư mới có thể bán cổ phiếu đó được hoặc sử dụng tiền đã nhận.
Tuy nhiên, trong trường hợp nhà đầu tư vay tiền của công ty chứng khoán để đầu tư (margin), việc tiền về tài khoản vào ngày T+2 sẽ giúp nhà đầu tư bớt đi 1 ngày lãi vay margin phải trả. Ngoài ra, việc tiền về sớm 1 ngày sẽ giúp nhà đầu tư được hưởng thêm lãi suất sớm 1 ngày (dù không nhiều).
Ví dụ:
Giao dịch mua cổ phiếu:
- Mua cổ phiếu ACB vào thứ Hai 30/5/2022
- Đến 16h30p ngày thứ Tư 1/6/2022 cổ phiếu mới về tài khoản
- Sang ngày thứ Năm 2/6/2022 nhà đầu tư được phép tiến hành bán cổ phiếu ACB đã mua
Tương tự với giao dịch bán cổ phiếu:
- Bán cổ phiếu ACB vào thứ Hai 30/5/2022
- Đến 16h30p ngày thứ Tư 1/6/2022 tiền sẽ về tài khoản, giúp nhà đầu tư giảm dư nợ margin (nếu có).
- Sang ngày thứ Năm 2/6/2022 nhà đầu tư được phép dùng số tiền bán chứng khoán để thực hiện các giao dịch khác.