
Mẫu xe mô-tô Honda CT125 do Honda nhập khẩu và phân phối tại thị trường Việt Nam đang được triển khai chương trình thu hồi nhằm kiểm tra và bổ sung nắp ốc trục bánh trước đối với các xe thuộc diện ảnh hưởng.
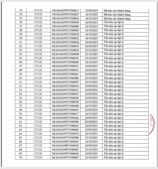
Theo thông tin Ủy ban Cạnh tranh Quốc gia công bố, chương trình thu hồi áp dụng đối với mẫu xe Honda CT125 sản xuất năm 2025, được sản xuất tại Thái Lan và nhập khẩu, phân phối tại Việt Nam. Người tiêu dùng có thể tra cứu danh sách số khung xe nằm trong diện ảnh hưởng theo danh sách do Công ty Honda Việt Nam công bố.


Doanh nghiệp cho biết sẽ hỗ trợ kiểm tra và xử lý không chỉ với các xe do công ty nhập khẩu, phân phối mà cả các sản phẩm cùng mã kiểu loại không do công ty nhập khẩu, phân phối trên thị trường Việt Nam.
Chương trình thu hồi được triển khai từ ngày 20/01/2026 tại các cửa hàng bán xe máy và dịch vụ do Honda ủy nhiệm (HEAD) trên toàn quốc. Theo kế hoạch, người tiêu dùng đưa xe thuộc diện ảnh hưởng đến các cửa hàng này để được kiểm tra và khắc phục lỗi, với thời gian thực hiện dự kiến khoảng 0,3 giờ. Toàn bộ chi phí kiểm tra và bổ sung phụ tùng sẽ được Công ty Honda Việt Nam thực hiện miễn phí. Công ty và các cửa hàng ủy nhiệm có trách nhiệm thông tin, đặt lịch hẹn kiểm tra hoặc thay thế tới từng khách hàng sở hữu xe bị ảnh hưởng.
Về nguyên nhân thu hồi, doanh nghiệp cho biết trong một số điều kiện nhất định, nếu xảy ra tiếp xúc hoặc va chạm trực tiếp tại khu vực bánh trước, có khả năng gây thương tích cho người và tài sản. Lý do được xác định là do độ vát của ốc trục bánh trước chưa phù hợp, trong tình huống hy hữu có thể phát sinh nguy cơ khi tham gia giao thông. Hiện tại, Công ty Honda Việt Nam cho biết chưa ghi nhận sự cố nào ảnh hưởng đến vận hành hoặc an toàn của các xe thuộc diện thu hồi.
Ủy ban Cạnh tranh Quốc gia khuyến cáo người tiêu dùng đang sở hữu xe mô-tô hai bánh nhãn hiệu Honda CT125, sản xuất tại Thái Lan trong thời gian tháng 9 và tháng 10 năm 2025, chủ động kiểm tra số khung xe và nhanh chóng đưa phương tiện đến cửa hàng ủy quyền gần nhất trong trường hợp xe thuộc diện bị ảnh hưởng, nhằm được kiểm tra và khắc phục lỗi miễn phí. Cơ quan này cho biết sẽ tiếp tục giám sát việc triển khai chương trình thu hồi để bảo đảm quyền lợi và an toàn cho người tiêu dùng.
Trước đó, Ủy ban Cạnh tranh Quốc gia cũng đã tiếp nhận báo cáo của Công ty Honda Việt Nam về chương trình thu hồi đối với mẫu mô-tô phân khối lớn Honda CB1000 Hornet do doanh nghiệp này nhập khẩu và phân phối tại Việt Nam. Chương trình này được triển khai nhằm kiểm tra và khắc phục các vấn đề liên quan đến bu lông cần chuyển số và tình trạng thiếu dầu động cơ trên các xe sản xuất trong giai đoạn từ tháng 2/2024 đến tháng 6/2025, với tổng số 9 xe thuộc diện ảnh hưởng. Các xe trong chương trình thu hồi này cũng được kiểm tra và sửa chữa miễn phí tại các cửa hàng ủy quyền của Honda trên toàn quốc.