Dành hơn 470 tỷ đồng để đầu tư cổ phiếu TCH, DCM, DBC... một công ty bất động sản lãi gấp 3 lần cùng kỳ dù kinh doanh dưới giá vốn

26/10/2025 08:28
Lũy kế 9 tháng đầu năm, doanh thu thuần NTL đạt hơn 13 tỷ đồng, giảm sâu 99% so với cùng kỳ năm 2024 hơn 1.420 tỷ đồng . Lợi nhuận sau thuế cũng giảm mạnh 97%, còn hơn 20,5 tỷ.

NTL: Công ty Cổ phần Phát triển Đô thị Từ Liêm

Giá hiện tại
18.7
Thay đổi
  -0.7 (-3.4%)
Cập nhật lúc 11:00 Thứ 6, 24/10/2025, 14:45
Xem hồ sơ doanh nghiệp

Công ty Cổ phần Phát triển Đô thị Từ Liêm (NTL) đã công bố báo cáo quý 3/2025 ghi nhận doanh thu thuần gần 4 tỷ đồng, tăng 4% so với quý 3/2024. Tuy nhiên, giá vốn bán hàng tăng cao 65% lên hơn 4 tỷ đồng dẫn đến lợi nhuận gộp trong quý 3/2025 âm gần 629 triệu đồng.

Nhờ lãi tiền gửi ngân hàng và các khoản đầu tư chứng khoán, doanh thu tài chính tăng cao lên gần 58 tỷ đồng, gấp 3,8 lần cùng kỳ năm 2024. Kết quả, NTL lãi sau thuế gần 13 tỷ đồng, gấp 3 lần so với cùng kỳ.

Dành hơn 470 tỷ đồng để đầu tư cổ phiếu TCH, DCM, DBC... một công ty bất động sản lãi gấp 3 lần cùng kỳ dù kinh doanh dưới giá vốn - Ảnh 1

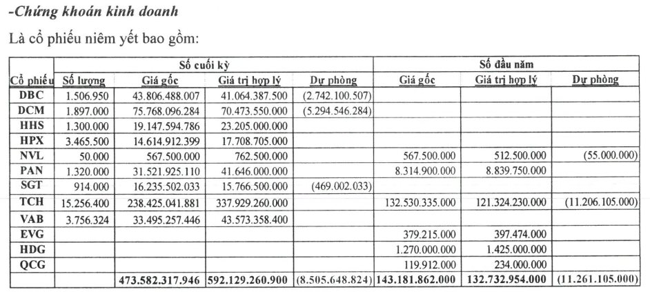
Tại ngày 30/9, NTL đang dành gần 474 tỷ đồng để đầu tư chứng khoán, gấp 3 lần so với hồi đầu năm. NTL đang đầu tư vào các cổ phiếu DBC, DCM, HHS, HPX, NVL, PAN, SGT, TCH, VAB. Giá trị hợp lý của các cổ phiếu này tại cuối tháng 9 là hơn 592 tỷ đồng.

Dành hơn 470 tỷ đồng để đầu tư cổ phiếu TCH, DCM, DBC... một công ty bất động sản lãi gấp 3 lần cùng kỳ dù kinh doanh dưới giá vốn - Ảnh 2

Lũy kế 9 tháng đầu năm, doanh thu thuần NTL đạt hơn 13 tỷ đồng, giảm sâu 99% so với cùng kỳ năm 2024 hơn 1.420 tỷ đồng . Lợi nhuận sau thuế cũng giảm mạnh 97%, còn hơn 20,5 tỷ.

Tại ngày 30/9/2025, tổng tài sản của NTL đạt 1.978 tỷ đồng, giảm 9% so với đầu năm. Tổng nợ phải trả là 243 tỷ, giảm 42%.

Tin mới

Giá dầu thủng 60 USD/thùng vì triển vọng đàm phán Nga - Ukraine và dữ liệu kinh tế yếu ở Trung Quốc
5 giờ trước
Giá dầu thế giới đã giảm mạnh trong phiên giao dịch ngày thứ Ba, lần đầu tiên rơi xuống dưới ngưỡng 60 USD/thùng kể từ tháng 5, trong bối cảnh thị trường đồng thời chịu tác động từ triển vọng hòa bình giữa Nga và Ukraine cũng như các tín hiệu suy yếu từ nền kinh tế Trung Quốc.
Máy bay lao thẳng xuống khu dân cư, nhiều người thiệt mạng
5 giờ trước
Một chiếc máy bay tư nhân cỡ nhỏ đã rơi tại khu vực trung tâm Mexico vào ngày 15/12 (giờ địa phương) khiến ít nhất 7 người thiệt mạng. Vụ tai nạn xảy ra trong lúc máy bay đang cố gắng thực hiện hạ cánh khẩn cấp.
Báo cáo việc làm Mỹ tăng vượt dự báo, tỷ lệ thất nghiệp 'nhấp nháy đỏ': Biến số then chốt cho quyết định lãi suất của Fed tháng 1
4 giờ trước
Ngày 16/12, Cục Thống kê Lao động đã công bố báo cáo việc làm phi nông nghiệp của tháng 10 và tháng 11.
Phản ứng với thuế quan của Mỹ, Campuchia ‘noi gương’ Trung Quốc làm 1 việc
4 giờ trước
Tới nay, đã có 10 quốc gia và vùng lãnh thổ đang đàm phán hoặc đã chính thức nộp đơn xin gia nhập khối liên kết kinh tế lớn thứ 3 thế giới.
Các trạm đo không khí liệu có "gian dối" số liệu không? - Sao Hà Nội lúc nào cũng ô nhiễm hơn phương Tây?
4 giờ trước
Liệu các đơn vị tư nhân như IQAir – vốn kinh doanh các sản phẩm xử lý không khí – có đang cố tình "thổi phồng" số liệu để kích cầu tiêu dùng hay không?

Bảng giá cập nhật trực tuyến

Vàng

GOLD

136.465.174 VNĐ / lượng

4,301.70 USD / toz

0.11 %

- 4.80

Bạc

SILVER

2.020.251 VNĐ / lượng

63.68 USD / toz

0.57 %

- 0.36

Đồng

COPPER

311.264.221 VNĐ / tấn

536.58 UScents / lb

0.85 %

- 4.62

Bạch kim

PLATINUM

59.557.783 VNĐ / lượng

1,877.40 USD / toz

2.78 %

+ 50.80

Nickel

NICKEL

375.083.262 VNĐ / tấn

14,255.00 USD / mt

0.28 %

- 40.00

Chì

LEAD

51.161.831 VNĐ / tấn

1,944.40 USD / mt

0.12 %

- 2.40

Nhôm

ALUMINUM

75.824.443 VNĐ / tấn

2,881.70 USD / mt

0.27 %

+ 7.80

» Xem tất cả giá Kim loại

Tin cùng chuyên mục

Vì sao Viettronics Tân Bình giảm sàn 5 phiên sau khi đại gia Vũ Văn Tiền thâu tóm?
3 giờ trước
Giá cổ phiếu VTB của Viettronics Tân Bình giảm kịch sàn 5 phiên sau khi đại gia Vũ Văn Tiền "thâu tóm" công ty mẹ không lâu
Vì sao mãi chưa nhập khẩu vàng?
2 giờ trước
Giá vàng trong nước đang tăng mạnh và duy trì khoảng cách cao hơn giá vàng thế giới khoảng 20 triệu đồng/lượng. Đáng nói, Nghị định 232 và thông tư hướng dẫn nhập khẩu vàng có hiệu lực từ ngày 10/10, nhưng đến nay vẫn chưa có đơn vị nào được phép nhập vàng.
Viettel Store chính thức bán pháo hoa online: 300.000 đồng/giàn nhấp nháy, 320.000 đồng/giàn phun viên
11 phút trước
Từ mùa Tết Nguyên đán 2026, người dân có thêm kênh tiếp cận pháo hoa dân dụng không tiếng nổ hợp pháp khi hệ thống bán lẻ Viettel triển khai phân phối sản phẩm này trên phạm vi toàn quốc, bao gồm cả kênh trực tiếp và các nền tảng bán hàng trực tuyến.
ISOFH tổ chức sự kiện "Chạm để vươn mình trong kỷ nguyên số" đánh dấu cột mốc 10 năm
46 phút trước
Đánh dấu cột mốc 10 năm thành lập, ISOFH tổ chức sự kiện chủ đề "Chạm để vươn mình trong kỷ nguyên số". Sự kiện là lời tri ân sâu sắc của ISOFH tới các đối tác, khách hàng, qua đó đồng thời công bố định hướng chiến lược mới, khẳng định cam kết đồng hành cùng ngành Y tế nước nhà trong công cuộc chuyển đổi số toàn diện.